"Real Effects of Search Frictions in Consumer Credit Markets" Forthcoming at the Review of Financial Studies
with Taylor Nadauld, and Chris Palmer.
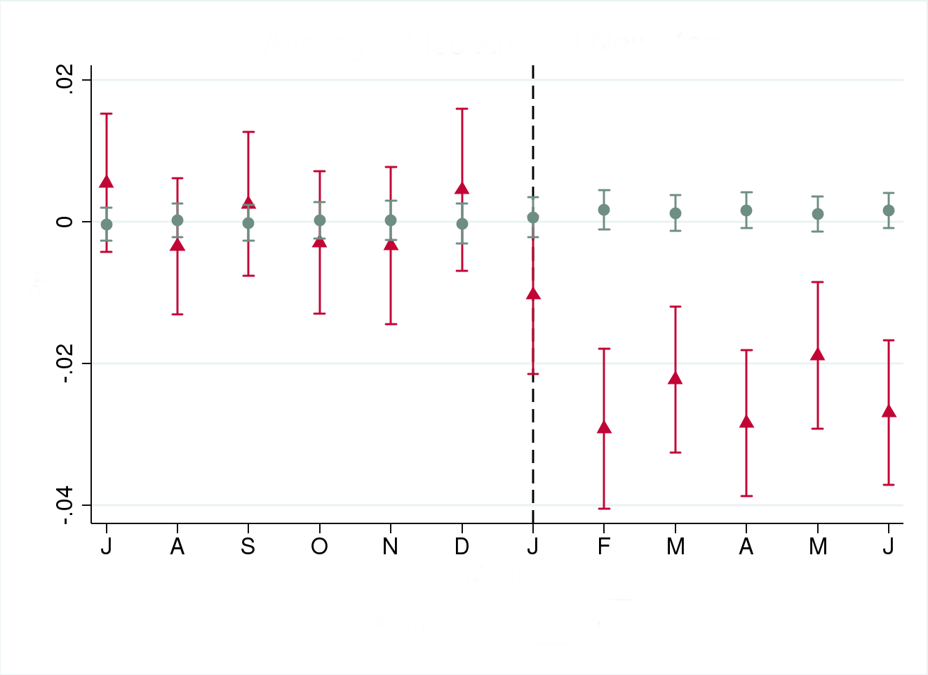
"The Capitalization of Consumer Financing into Durable Goods Prices"
with Taylor Nadauld, Chris Palmer, and Ryan Pratt. Journal of Finance, February 2021, 169-210 SFS Cavalcade 2019 Best Paper in Corporate Finance
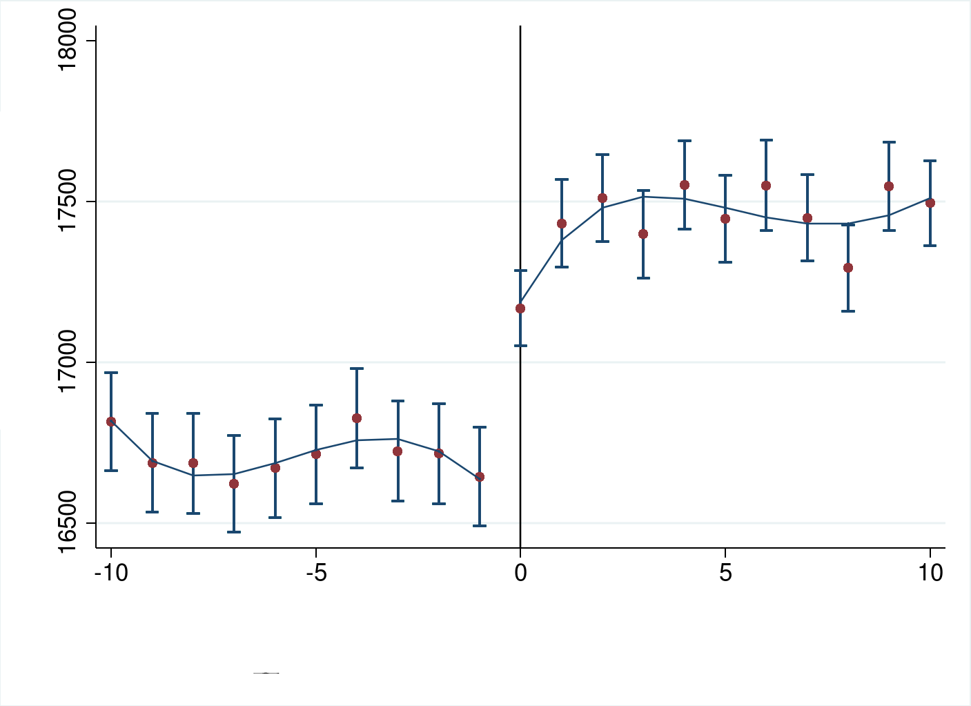
"Monthly Payment Targeting and the Demand for Maturity"
with Taylor Nadauld, and Chris Palmer. Review of Financial Studies, November 2020, 5416-5462.
"Overselling Winners and Losers: How Mutual Fund Managers' Trading Behavior Affects Asset Prices"
with Li An. Journal of Financial Markets, June 2020.
"Sticky Deposits, Not Depositors"
with Jason Kotter, Ben Iverson, Taylor Nadauld, and Chris Palmer.
"Racial Disparities and Bias in Consumer Bankruptcy"
with Sasha Indarte, Ben Iverson, and Chris Palmer.
"Personal Bankruptcy and the Accumulation of Shadow Debt"
with Ben Iverson, Taylor Nadauld, and Chris Palmer.